產品列表
聯系方式

杭州易測計量設備有限公司

地 址:杭州市余杭區北沙西路152號

聯系人:王經理

電 話:0571-85108155

傳 真:0571-85105122

手 機:18094712401

行業資訊
?

提高石英式動態地磅準確度和穩定性的方法研究


介紹了石英晶體的壓電效應,石英稱重傳感器的電荷電壓計算,石英式動態地磅的工作原理、結構 和特點。提出了提高石英式動態地磅的動態稱重準確度和穩定性的方法。
0.引言
20世紀90年代末,隨著公路車輛動態稱重的 迫切需求和石英稱重傳感器技術的發展,瑞士公司率先開發出可以埋在路面下的以 石英晶體為敏感元件的動態稱重傳感器,用于公路 車輛動態稱重(WIM)。目前在美國、加拿大、英國、 德國、澳大利亞、韓國、日本、印度、中東地區等國家 已得到廣泛應用,主要用于計重收費、橋梁保護、交 通流量調查、超載檢測等。
在中國,以石英稱重傳感器為基礎開發的石英 式動態地磅因其開挖量小、適應范圍廣(速度、彎 道、坡道、橋梁等)、穩定性和可靠性好、使用壽命 長、無需排水、不生鎊、免維護等特點,最近幾年發 展迅猛,已廣泛應用于計重收費、橋梁保護、高速預 檢、非現場執法等領域。
廣東省目前正在使用的石英式動態汽車衡近 千套,車輛整車總重量的準確度等級為5級,為了節省成本,石英稱重傳感器采用單排交錯布局,造成 容易作弊。
為進一步提高石英式動態地磅的稱重準確 度、穩定性和防止作弊,須從石英式動態汽車衡的 工作原理及其影響因素著手,從根本上提出實用可 靠的方法。
1.石英式動態地磅的原理
石英式動態地磅主要由石英稱重傳感器、電 荷放大器、稱重儀表、車輛分離裝置等組成。如圖1 所示。
 
石英稱重傳感器埋設在稱量區引道里,與車行 方向垂直。
車輪碾壓過石英稱重傳感器時,動態車輪力 (dynamic vehicle tyre force )施加于石英稱重傳感器 表面和引道路面(由路面和傳感器表面共同承擔), 石英稱重傳感器產生與所承受的輪胎負荷(tyre load)呈正比的電荷。
石英稱重傳感器產生的電荷經過高阻抗低噪 聲電纜傳送至電荷放大器,電荷放大器輸出與電荷 對應的電壓(mV或V),通過專用線纜發送給稱重 儀表。
電壓信號經過稱重儀表濾波、采樣成為數字信 號,再由微處理器根據既定的數學模型計算出輪、 軸載荷,通過累加各軸載荷得到車輛總重量并顯示。
信號處理的過程是:力—電荷—電壓—數字 (經計算)—重量。
1.1石英晶體的壓電效應
石英晶體的化學成分為SiO2,外形為六角棱 形;通常我們稱石英晶體的對稱軸為Z軸或光軸、 通過相對兩棱且與Z軸垂直的軸線為X軸或電軸、 與X軸和Z軸都垂直的軸線為Y軸或中性軸;X切 割的石英晶體片(長方體、圓柱體等)是指切割出來 的石英晶體片的兩個大面積的平面都與X軸相垂 直,如圖2所示。
 
石英晶體的壓電效應是由于在外力作用下石 英晶體內的硅原子和氧原子的位置產生相對變形, 正電荷和負電荷的重心互相移位,產生電荷。
如圖3所示,當X切割的石英晶體片沿X軸方 向受一外力作用時,內部產生極化,在垂直于X軸 的兩個平面上產生等量的正負電荷;當X切割的石 英晶體片沿Y軸或Z軸受一外力作用時,則不會在 垂直于X軸的兩個平面上產生電荷;這種現象被稱 為縱向壓電效應。
 
1.2石英稱重傳感器的工作原理
石英稱重傳感器是利用石英晶體的縱向壓電 效應將重量信號轉換成電信號的裝置。
以一個X切割的石英晶體圓片為例,如圖4所 示,計算它的電荷值。
 
石英晶體圓片直徑為d,厚度為T。當石英晶體 圓片沿X軸方向受外力Fx作用時,在垂直于Fx的 平面上產生電荷,而且其外力與產生的電荷存在線 性關系。
Qx - d11 Fx
式中:Qx為石英晶體圓片垂直于Fx平面產生的電 荷;dll為石英晶體的縱向壓電模數,dll - 2.31pC/N。
石英稱重傳感器將多個X切割的石英晶體圓 片和電極板直接安裝在一個特制的梁式承載器內, 梁式承載器內的所有石英晶體圓片通過并聯方式 連接。如果將n個石英晶體圓片按并聯方式連接,總輸出電荷將增加n倍,電荷靈敏度也增加n倍。n 個石英晶體片并聯所產生的電荷為:Qx = nduFx。
當稱重傳感器受外載荷作用時,石英晶體圓片 產生電荷,由電極板收集傳至信號輸出插座,再由 高阻抗低噪聲的同軸電纜傳輸到電荷放大器。
石英稱重傳感器與其他類型的傳感器相比較 有以下優點:
量程范圍廣,結構緊湊、體積小、重量輕;
靈敏度高,測量值可到上百噸載荷,又能分 辨出小至幾公斤的動態力;
剛度大,固有頻率高(幾十千赫以上),動態 響應快;
時間老化率低,無熱釋電現象,工作可靠性 高,壽命長;
對溫度的敏感性低,靈敏度變化極小,長期 穩定性好;
在使用時不用事先調整平衡,操作方便。
石英稱重傳感器唯一的缺點是不能在長時間 內進行靜態測量。
1.3電荷放大器的工作原理
石英稱重傳感器中全部石英晶體圓片產生的 電荷量Qx非常微弱且輸出阻抗Ra很高(為了減小 電荷泄漏,通常要求大于500Gft),需通過電荷放大 器將此微弱電荷變換成與其成正比的電壓,并將高 輸出阻抗變為低輸出阻抗。
電荷放大器是一種帶電容反饋的高輸人阻抗、 低噪聲、低漂移寬帶的精密運算放大器,它將電荷 經靈敏度規一化后,按比例轉換成電壓輸出(mV或 V)。
車輛通過石英稱重傳感器時,由于石英稱重傳 感器測量表面的寬度比車輛輪胎的印跡窄,輪胎重 量的計算須依據電荷信號沿車輪接觸長度積分方 式,即采用輪胎從開始壓上傳感器到完全通過傳感 器期間傳感器產生的電荷變化的脈沖波形曲線積 分方式。電荷放大器通過專用線纜發送給稱重儀 表的是脈沖波形的電壓信號。
1.4稱重儀表的工作原理
脈沖電壓信號在稱重儀表中經過濾波、采樣轉 換成數字信號,再由稱重儀表中的微處理器根據既 定的數學模型和智能動態稱重軟件計算出輪、軸載 荷, 并通過累加各軸載荷得到車輛總重量。
2.提高石英式動態汽車衡準確度和穩定性的方法
2. 1影響動態稱重的因素
任何一種動態地磅動態稱量時,均可將動態地磅和被檢測車輛的組合視作一個等效二階振 動系統,在各種客觀因素的共同作用和影響下,很 難達到諸如地磅類靜態秤的稱重精度和穩定性。
對于石英式動態汽車衡來說,這些客觀因素中 最主要的有下列四大因素:
1)石英稱重傳感器靈敏度一致性問題 石英稱重傳感器的靈敏度一致性是指用同樣 大小的力施加在石英稱重傳感器不同位置時的測 量結果誤差。
Kistler的石英稱重傳感器的典型分布特性如圖 5所示。
 
2)非勻速直線行駛問題
如貨車在稱重區域內加速或減速通過、S型行 駛、斜進、跳稱等。非勻速直線行駛將會導致地磅的采集信號不規范,進而導致數據失真、誤差加大。
3)路面平整度與速度問題
稱量區的引道路面是動態地磅不可分割的 一部分。引道路面的平整度會直接影響到車輛經 過時產生振動的大小,通常情況下,引道路面平整 度越差、車輛行駛速度越大,所產生的垂直于引道 路面的外力越大。
4)車況問題
車況越差車輛行駛時振動越大,也會導致采集 信號不同程度的失真。
2.2解決方法:多排布局
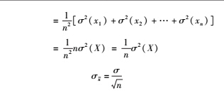
石英式動態地磅的測量誤差由系統誤差、隨 機誤差、粗大誤差構成。系統誤差的減少可通過軌 跡檢測傳感器和智能算法來實現。隨機誤差和粗 大誤差的減少則通過多排布局,構成多個等精度的 單次測量,系統通過多次測量求算術平均值來實現。
多排布局的石英式動態汽車衡的總體設計如 圖6所示。
 
2.2 1多排布局通過多次測量求算術平均值來提 高準確度
以3排石英稱重傳感器的布局為例,如圖7 所示。
 
原則上,系統可實現ad、bc、cf、de、af、be組成的 6個交錯單排的單次稱量,可視同為6次等精度的 單次稱量,理論上可以在單排的基礎上將其均方根 誤差(標準偏差值)縮小6倍。
假設單次稱量的隨機誤差為8,其均方根誤差 ^(標準偏差)為:
 
 
2. 2多排布局可對異常信號篩選過濾
在多排布局的衡器系統中,多次稱量中如發現 有因諸如車輛異常行駛、外部干擾等因素產生的粗 大誤差,可先篩選濾除后再進行算術平均,從而提 高測量準確度。
2.2.3調整多排布局的間距可消除振動導致的
誤差
 
   
 
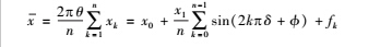
測量數據%實際上還與車輛的振動有關,車輛 振動頻率大致與路面特征頻率一致。采用單一正 弦波建模,n排傳感器所測重量平均值x可表述 如下: 式中:fk表示為第k排傳感器的測試誤差;小為一變 量,以取代振動頻率f、傳統距離A和車速v的共同影響結果。
 
因此,測量數據隨著標量距離以及傳感器數量 n的變化而變化。多排布局時,根據車輛的振動頻率范圍和車輛運行速度范圍,通過調整石英稱重傳 感器的間距可減少因振動導致的誤差。
廣州根據多排布 局的石英式動態汽車衡設計原理,采用Kistler石 英稱重傳感器,生產的車輛整車總重量的準確度 等級為2級的石英式動態汽車衡(如表1所示), 通過了國家自動衡器型式評價實驗室(山東)進 行的型式評價,是國內第一家取得最高準確度等 級石英式動態汽車衡型式批準證書和生產許可 證的廠家。
 
3.結束語
本文從石英式動態地磅的原理、石英晶體的 壓電效應著手,闡述了提高石英式動態地磅計量 精度、穩定性和可靠性的方法,即采用多排傳感器 布局和智能動態稱重系統,其優點如下:可減小因石英稱重傳感器自身靈敏度一致 性導致的誤差;可減小因被測車輛行駛狀態的不同導致的 誤差;可減小因車型、路況、車況的影響導致的稱量誤差。
通過實驗表明,該系統軟硬件運行良好,車重結果數據可靠,完全達到實際應用要求。
 
上一篇:組合式動態汽車衡檢定方法探討 下一篇:動態礦用地磅在東鞍山鐵礦的應用
精品推薦 更多…
網站首頁汽車衡地磅電子磅秤電子秤電子吊秤電子叉車秤建筑工地產品聯系我們關于我們公司動態

聯系人:王經理 電話:0571-85108155  傳真:0571-85105122

郵編:310006 手機:18094712401 地址:杭州市余杭區北沙西路152號

Copyright ? 杭州易測計量設備有限公司 All rights reserved.